典型回答
因为不是所有的小数都能用二进制表示(扩展知识中介绍为啥不能表示),所以,为了解决这个问题,IEEE提出了一种使用近似值表示小数的方式,并且引入了精度的概念。这就是我们所熟知的浮点数。
比如0.1+0.2 != 0.3,而是等于0.30000000000000004 (甚至有一个网站就叫做 https://0.30000000000000004.com/ ,就是来解释这个现象的)

所以,浮点数只是近似值,并不是精确值,所以不能用来表示金额。否则会有精度丢失。
扩展知识
十进制转二进制
首先我们看一下,如何把十进制整数转换成二进制整数?
十进制整数转换为二进制整数采用"除2取余,逆序排列"法。
具体做法是:
- 用2整除十进制整数,可以得到一个商和余数;
- 再用2去除商,又会得到一个商和余数,如此进行,直到商为小于1时为止
- 然后把先得到的余数作为二进制数的低位有效位,后得到的余数作为二进制数的高位有效位,依次排列起来。
如,我们想要把127转换成二进制,做法如下:

那么,十进制小数转换成二进制小数,又该如何计算呢?
十进制小数转换成二进制小数采用"乘2取整,顺序排列"法。
具体做法是:
- 用2乘十进制小数,可以得到积
- 将积的整数部分取出,再用2乘余下的小数部分,又得到一个积
- 再将积的整数部分取出,如此进行,直到积中的小数部分为零,此时0或1为二进制的最后一位。或者达到所要求的精度为止。

所以,十进制的0.625对应的二进制就是0.101。
不是所有数都能用二进制表示
我们知道了如何将一个十进制小数转换成二进制,那么是不是计算就可以直接用二进制表示小数了呢?
前面我们的例子中0.625是一个特列,那么还是用同样的算法,请计算下0.1对应的二进制是多少?

我们发现,0.1的二进制表示中出现了无限循环的情况,也就是(0.1)10 = (0.000110011001100…)2
这种情况,计算机就没办法用二进制精确的表示0.1了。
也就是说,对于像0.1这种数字,我们是没办法将他转换成一个确定的二进制数的。
IEEE 754
为了解决部分小数无法使用二进制精确表示的问题,于是就有了IEEE 754规范。
IEEE二进制浮点数算术标准(IEEE 754)是20世纪80年代以来最广泛使用的浮点数运算标准,为许多CPU与浮点运算器所采用。
浮点数和小数并不是完全一样的,计算机中小数的表示法,其实有定点和浮点两种。因为在位数相同的情况下,定点数的表示范围要比浮点数小。所以在计算机科学中,使用浮点数来表示实数的近似值。
IEEE 754规定了四种表示浮点数值的方式:单精确度(32位)、双精确度(64位)、延伸单精确度(43比特以上,很少使用)与延伸双精确度(79比特以上,通常以80位实现)。
其中最常用的就是32位单精度浮点数和64位双精度浮点数。
IEEE并没有解决小数无法精确表示的问题,只是提出了一种使用近似值表示小数的方式,并且引入了精度的概念。
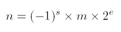
浮点数是一串0和1构成的位序列(bit sequence),从逻辑上用三元组{S,E,M}表示一个数N,如下图所示:

- S(sign)表示N的符号位。对应值s满足:n>0时,s=0; n≤0时,s=1。
- E(exponent)表示N的指数位,位于S和M之间的若干位。对应值e值也可正可负。
- M(mantissa)表示N的尾数位,恰好,它位于N末尾。M也叫有效数字位(significand)、系数位(coefficient), 甚至被称作"小数"。
则浮点数N的实际值n由下方的式子表示:

上面这个公式看起来很复杂,其中符号位和尾数位还比较容易理解,但是这个指数位就不是那么容易理解了。
其实,大家也不用太过于纠结这个公式,大家只需要知道对于单精度浮点数,最多只能用32位字符表示一个数字,双精度浮点数最多只能用64位来表示一个数字。
而对于那些无限循环的二进制数来说,计算机采用浮点数的方式保留了一定的有效数字,那么这个值只能是近似值,不可能是真实值。
至于一个数对应的IEEE 754浮点数应该如何计算,不是本文的重点,这里就不再赘述了,过程还是比较复杂的,需要进行对阶、尾数求和、规格化、舍入以及溢出判断等。
但是这些其实不需要了解的太详细,我们只需要知道,小数在计算机中的表示是近似数,并不是真实值。根据精度不同,近似程度也有所不同。
如0.1这个小数,他对应的在双精度浮点数的二进制为:0.00011001100110011001100110011001100110011001100110011001 。
0.2这个小数0.00110011001100110011001100110011001100110011001100110011 。
所以两者相加:

转换成10进制之后得到:0.30000000000000004!
避免精度丢失
在Java中,使用float表示单精度浮点数,double表示双精度浮点数,表示的都是近似值。
所以,在Java代码中,千万不要使用float或者double来进行高精度运算,尤其是金额运算,否则就很容易产生资损问题。
为了解决这样的精度问题,Java中提供了BigDecimal来进行精确运算。